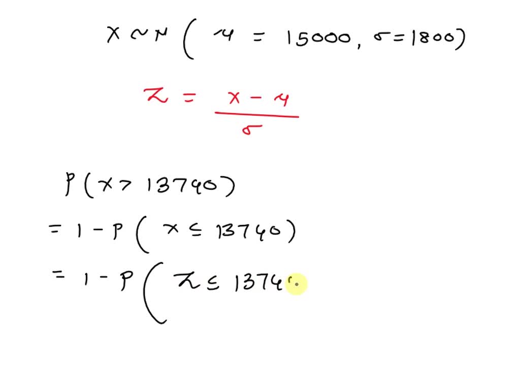
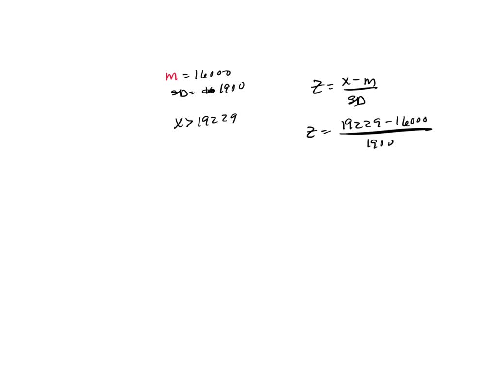
Monitors Manufactured By Tsi Electronics . monitors manufactured by tsi electronics have life spans that have a normal distribution with a standard deviation of. monitors manufactured by tsi electronics have life spans that have a normal distribution with a standard. monitors manufactured by tsi electronics have life spans that have a normal distribution with a variance of 1,000,000. monitors manufactured by tsi electronics have life spans that have a normal distribution with a variance of 3,240,000. Monitors manufactured by tsi electronics have life spans that have a normal distribution with a standard. monitors manufactured by tsi electronics have life spans that have a normal distribution with a standard. monitors manufactured by tsi electronics have life spans that have a normal distribution with a standard deviation of.
from www.numerade.com
Monitors manufactured by tsi electronics have life spans that have a normal distribution with a standard. monitors manufactured by tsi electronics have life spans that have a normal distribution with a standard. monitors manufactured by tsi electronics have life spans that have a normal distribution with a standard. monitors manufactured by tsi electronics have life spans that have a normal distribution with a variance of 3,240,000. monitors manufactured by tsi electronics have life spans that have a normal distribution with a variance of 1,000,000. monitors manufactured by tsi electronics have life spans that have a normal distribution with a standard deviation of. monitors manufactured by tsi electronics have life spans that have a normal distribution with a standard deviation of.
SOLVED Monitors manufactured by TSI Electronics have life spans that
Monitors Manufactured By Tsi Electronics monitors manufactured by tsi electronics have life spans that have a normal distribution with a standard deviation of. monitors manufactured by tsi electronics have life spans that have a normal distribution with a standard. monitors manufactured by tsi electronics have life spans that have a normal distribution with a standard. monitors manufactured by tsi electronics have life spans that have a normal distribution with a variance of 3,240,000. Monitors manufactured by tsi electronics have life spans that have a normal distribution with a standard. monitors manufactured by tsi electronics have life spans that have a normal distribution with a variance of 1,000,000. monitors manufactured by tsi electronics have life spans that have a normal distribution with a standard deviation of. monitors manufactured by tsi electronics have life spans that have a normal distribution with a standard deviation of.
From www.chegg.com
Solved Monitors manufactured by TSI Electronics have life Monitors Manufactured By Tsi Electronics monitors manufactured by tsi electronics have life spans that have a normal distribution with a standard deviation of. monitors manufactured by tsi electronics have life spans that have a normal distribution with a variance of 1,000,000. Monitors manufactured by tsi electronics have life spans that have a normal distribution with a standard. monitors manufactured by tsi electronics. Monitors Manufactured By Tsi Electronics.
From brainly.com
Monitors manufactured by TSI electronics have lifespans that have a Monitors Manufactured By Tsi Electronics monitors manufactured by tsi electronics have life spans that have a normal distribution with a standard. Monitors manufactured by tsi electronics have life spans that have a normal distribution with a standard. monitors manufactured by tsi electronics have life spans that have a normal distribution with a variance of 3,240,000. monitors manufactured by tsi electronics have life. Monitors Manufactured By Tsi Electronics.
From www.numerade.com
Monitors manufactured by TSI Electronics have life spans that have a Monitors Manufactured By Tsi Electronics monitors manufactured by tsi electronics have life spans that have a normal distribution with a standard deviation of. monitors manufactured by tsi electronics have life spans that have a normal distribution with a standard. monitors manufactured by tsi electronics have life spans that have a normal distribution with a standard deviation of. Monitors manufactured by tsi electronics. Monitors Manufactured By Tsi Electronics.
From www.gauthmath.com
Solved Monitors manufactured by TSI Electronics have life spans that Monitors Manufactured By Tsi Electronics monitors manufactured by tsi electronics have life spans that have a normal distribution with a standard deviation of. monitors manufactured by tsi electronics have life spans that have a normal distribution with a variance of 3,240,000. Monitors manufactured by tsi electronics have life spans that have a normal distribution with a standard. monitors manufactured by tsi electronics. Monitors Manufactured By Tsi Electronics.
From www.numerade.com
SOLVED Monitors manufactured by TSI Electronics have life spans that Monitors Manufactured By Tsi Electronics monitors manufactured by tsi electronics have life spans that have a normal distribution with a variance of 3,240,000. monitors manufactured by tsi electronics have life spans that have a normal distribution with a variance of 1,000,000. monitors manufactured by tsi electronics have life spans that have a normal distribution with a standard. Monitors manufactured by tsi electronics. Monitors Manufactured By Tsi Electronics.
From www.chegg.com
Solved SVGA monitors manufactured by TSI Electronics have Monitors Manufactured By Tsi Electronics monitors manufactured by tsi electronics have life spans that have a normal distribution with a standard deviation of. monitors manufactured by tsi electronics have life spans that have a normal distribution with a standard. monitors manufactured by tsi electronics have life spans that have a normal distribution with a variance of 1,000,000. monitors manufactured by tsi. Monitors Manufactured By Tsi Electronics.
From tsi.com
EVM Environmental Monitors TSI Monitors Manufactured By Tsi Electronics Monitors manufactured by tsi electronics have life spans that have a normal distribution with a standard. monitors manufactured by tsi electronics have life spans that have a normal distribution with a standard. monitors manufactured by tsi electronics have life spans that have a normal distribution with a standard deviation of. monitors manufactured by tsi electronics have life. Monitors Manufactured By Tsi Electronics.
From www.chegg.com
Solved 7329B VGA monitors manufactured by TSI Electronics Monitors Manufactured By Tsi Electronics monitors manufactured by tsi electronics have life spans that have a normal distribution with a standard. monitors manufactured by tsi electronics have life spans that have a normal distribution with a standard. Monitors manufactured by tsi electronics have life spans that have a normal distribution with a standard. monitors manufactured by tsi electronics have life spans that. Monitors Manufactured By Tsi Electronics.
From www.coursehero.com
[Solved] Monitors manufactured by TSI Electronics have life spans that Monitors Manufactured By Tsi Electronics monitors manufactured by tsi electronics have life spans that have a normal distribution with a variance of 3,240,000. monitors manufactured by tsi electronics have life spans that have a normal distribution with a standard deviation of. monitors manufactured by tsi electronics have life spans that have a normal distribution with a standard deviation of. monitors manufactured. Monitors Manufactured By Tsi Electronics.
From www.chegg.com
Solved Monitors manufactured by TSI Electronics have life Monitors Manufactured By Tsi Electronics monitors manufactured by tsi electronics have life spans that have a normal distribution with a variance of 3,240,000. monitors manufactured by tsi electronics have life spans that have a normal distribution with a variance of 1,000,000. monitors manufactured by tsi electronics have life spans that have a normal distribution with a standard deviation of. monitors manufactured. Monitors Manufactured By Tsi Electronics.
From www.chegg.com
Solved Monitors manufactured by TSI Electronics have life Monitors Manufactured By Tsi Electronics monitors manufactured by tsi electronics have life spans that have a normal distribution with a standard deviation of. monitors manufactured by tsi electronics have life spans that have a normal distribution with a standard. monitors manufactured by tsi electronics have life spans that have a normal distribution with a standard. Monitors manufactured by tsi electronics have life. Monitors Manufactured By Tsi Electronics.
From www.numerade.com
SOLVED Monitors manufactured by TSI Electronics have life spans that Monitors Manufactured By Tsi Electronics monitors manufactured by tsi electronics have life spans that have a normal distribution with a standard deviation of. monitors manufactured by tsi electronics have life spans that have a normal distribution with a standard. Monitors manufactured by tsi electronics have life spans that have a normal distribution with a standard. monitors manufactured by tsi electronics have life. Monitors Manufactured By Tsi Electronics.
From www.chegg.com
Solved Monitors manufactured by TSI Electronics have life Monitors Manufactured By Tsi Electronics monitors manufactured by tsi electronics have life spans that have a normal distribution with a standard. monitors manufactured by tsi electronics have life spans that have a normal distribution with a variance of 1,000,000. monitors manufactured by tsi electronics have life spans that have a normal distribution with a standard deviation of. monitors manufactured by tsi. Monitors Manufactured By Tsi Electronics.
From www.numerade.com
Monitors manufactured by TSI Electronics have life spans that have a Monitors Manufactured By Tsi Electronics monitors manufactured by tsi electronics have life spans that have a normal distribution with a standard deviation of. monitors manufactured by tsi electronics have life spans that have a normal distribution with a standard. monitors manufactured by tsi electronics have life spans that have a normal distribution with a variance of 3,240,000. monitors manufactured by tsi. Monitors Manufactured By Tsi Electronics.
From www.numerade.com
SOLVED Monitors manufactured by TSI Electronics have life spans that Monitors Manufactured By Tsi Electronics monitors manufactured by tsi electronics have life spans that have a normal distribution with a standard deviation of. Monitors manufactured by tsi electronics have life spans that have a normal distribution with a standard. monitors manufactured by tsi electronics have life spans that have a normal distribution with a standard. monitors manufactured by tsi electronics have life. Monitors Manufactured By Tsi Electronics.
From www.numerade.com
SOLVED Monitors manufactured by TSI Electronics have life spans that Monitors Manufactured By Tsi Electronics monitors manufactured by tsi electronics have life spans that have a normal distribution with a standard deviation of. monitors manufactured by tsi electronics have life spans that have a normal distribution with a variance of 1,000,000. monitors manufactured by tsi electronics have life spans that have a normal distribution with a standard. Monitors manufactured by tsi electronics. Monitors Manufactured By Tsi Electronics.
From www.homeworklib.com
Monitors manufactured by TSI Electronics have life spans that have a Monitors Manufactured By Tsi Electronics monitors manufactured by tsi electronics have life spans that have a normal distribution with a standard deviation of. monitors manufactured by tsi electronics have life spans that have a normal distribution with a variance of 1,000,000. monitors manufactured by tsi electronics have life spans that have a normal distribution with a standard. monitors manufactured by tsi. Monitors Manufactured By Tsi Electronics.
From www.numerade.com
SOLVED Monitors manufactured by TSI Electronics have life spans that Monitors Manufactured By Tsi Electronics monitors manufactured by tsi electronics have life spans that have a normal distribution with a standard. Monitors manufactured by tsi electronics have life spans that have a normal distribution with a standard. monitors manufactured by tsi electronics have life spans that have a normal distribution with a standard deviation of. monitors manufactured by tsi electronics have life. Monitors Manufactured By Tsi Electronics.